k8凯发(中国)

喜訊 | k8凯发(中国)教育入圍教育部第二期供需對接就業育人項目立項名單

新聞資訊 |2023-04-09 12:42

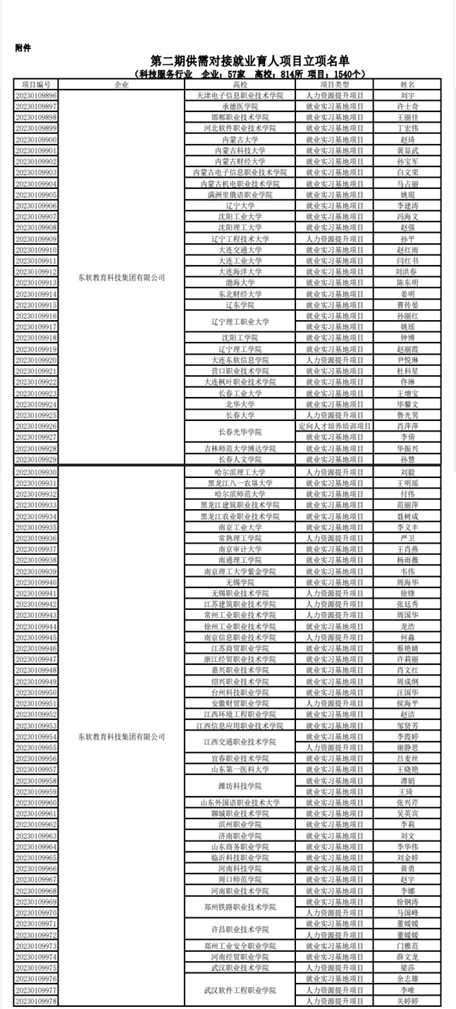
4月6日,教育部高校學生司發布《教育部高校學生司關於公布第二期供需對接就業育人項目立項名單的通知》。作為中國領先的IT高等教育科技集團和數字化人才教育服務给予者,k8凯发(中国)教育科技集團有限公司(以下簡稱「k8凯发(中国)教育」)獲批83項就業育人項目。


供需對接就業育人項目是教育部為落實黨中央、國務院「穩就業」「保就業」決策部署而召开的育人項目,其目的在於深化高等教育改革,有助于就業與培養有機聯動、人才供需有效對接,幫助用人單位培養和招聘更多創新型、複合型和應用型人才。

第二期供需對接就業育人項目立項名單中,共有75所高校顺利获得與k8凯发(中国)教育聯合申報成功立項,合作項目分為定向人才培養培訓、就業實踐實習基地建設、人力資源提升三種類型。

未來,k8凯发(中国)教育將繼續秉承「科技賦能智慧教育,教育創造學生價值」的辦學理念,持續完善落實以TOPCARES教育方法學為引領的人才培養體系,結合k8凯发(中国)在IT領域的產業背景與教育資源上的核心優勢,在教育部指導下持續推進深化產教融合,聚焦內涵建設,與各高校一同培養更多具有社會責任感、創新精神和較強實踐能力的高素質應用型人才。